Neuf
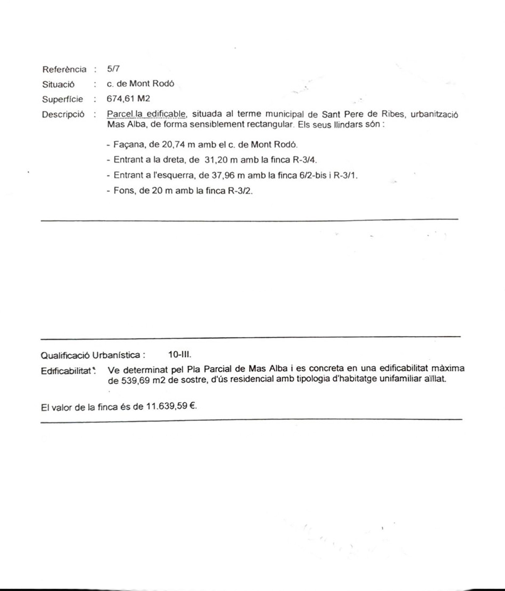
Terrain de 675 m² à Sant Pere de Ribes (08810)
179 900 €
267 €/m²
675 m² de terrain
À propos de ce terrain à Sant Pere de Ribes (08810)
Terreno en venta de 645m2 en Mas Alba para construir una casa independiente unifamiliar con acceso desde la calle.
Edificabilidad máxima 540m2.
Mas Alba está a 5 minutos en coche de Sitges, playas, comercios y red de carreteras.
Zona muy popular en plena expansión.
Réf: 151105
Équipements
Extérieur
Surface de terrain : 675 m²
Où est situé ce bien ?
Ce terrain est situé à Sant Pere de Ribes (08810).
Cette annonce est présentée par
Biens immobiliers similaires
Popover 1
Popover 2
Popover 3
Popover 4










